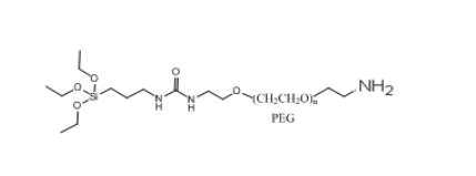
【48812】氨基PEG硅烷; Silane-PEG-NH2;硅烷-聚乙二醇-氨基;Silane--Ami
您当前的位置 : 首页 > 产品中心 > 烷基硅烷

【48812】氨基PEG硅烷; Silane-PEG-NH2;硅烷-聚乙二醇-氨基;Silane--Ami

2024-06-11 21:15:39 烷基硅烷
产品详情:

  溶剂:溶于大部分有机溶剂,如:DCM、DMF、DMSO、THF等等。在水中有很好的溶解性

  氨基能够润饰能与伯胺反响的活性基团,与羧基(-COOH)构成安稳的酰胺键,与活性酯(-NHS)

  在PH7-8.5构成酰胺键。硅烷官能化的聚乙二醇经过羟基乙氧基、甲氧基硅烷,可拿来润饰玻片、硅胶和

  其他外表之间的反响。聚乙二醇添加药物溶解度和安稳才能,削减多肽和蛋白质的免疫原性,按捺带电分子

  在润饰外表的非特异性结合。可润饰蛋白质、多肽和其它小分子资料。大范围的应用于医药研讨、药性缓释、纳